34. 马尔科夫链:不可约性与遍历性#

除了 Anaconda 中的函数库外,这个讲座还需要以下函数库:

!pip install quantecon

Hide code cell output

Requirement already satisfied: quantecon in /home/runner/miniconda3/envs/quantecon/lib/python3.12/site-packages (0.10.1)
Requirement already satisfied: numba>=0.49.0 in /home/runner/miniconda3/envs/quantecon/lib/python3.12/site-packages (from quantecon) (0.60.0)
Requirement already satisfied: numpy>=1.17.0 in /home/runner/miniconda3/envs/quantecon/lib/python3.12/site-packages (from quantecon) (1.26.4)
Requirement already satisfied: requests in /home/runner/miniconda3/envs/quantecon/lib/python3.12/site-packages (from quantecon) (2.32.3)
Requirement already satisfied: scipy>=1.5.0 in /home/runner/miniconda3/envs/quantecon/lib/python3.12/site-packages (from quantecon) (1.13.1)
Requirement already satisfied: sympy in /home/runner/miniconda3/envs/quantecon/lib/python3.12/site-packages (from quantecon) (1.13.2)
Requirement already satisfied: llvmlite<0.44,>=0.43.0dev0 in /home/runner/miniconda3/envs/quantecon/lib/python3.12/site-packages (from numba>=0.49.0->quantecon) (0.43.0)
Requirement already satisfied: charset-normalizer<4,>=2 in /home/runner/miniconda3/envs/quantecon/lib/python3.12/site-packages (from requests->quantecon) (3.3.2)
Requirement already satisfied: idna<4,>=2.5 in /home/runner/miniconda3/envs/quantecon/lib/python3.12/site-packages (from requests->quantecon) (3.7)
Requirement already satisfied: urllib3<3,>=1.21.1 in /home/runner/miniconda3/envs/quantecon/lib/python3.12/site-packages (from requests->quantecon) (2.2.3)
Requirement already satisfied: certifi>=2017.4.17 in /home/runner/miniconda3/envs/quantecon/lib/python3.12/site-packages (from requests->quantecon) (2024.8.30)
Requirement already satisfied: mpmath<1.4,>=1.1.0 in /home/runner/miniconda3/envs/quantecon/lib/python3.12/site-packages (from sympy->quantecon) (1.3.0)

34.1. 概述#

本讲座是我们之前关于马尔科夫链的讲座的延续。

具体来说,我们将介绍不可约性和遍历性的概念,并了解它们与平稳性的联系。

不可约性描述了马尔科夫链在系统中任意两个状态之间移动的能力。

遍历性是一种样本路径性质,描述了系统在长时间内的行为。

正如我们将看到的:

  • 不可约的马尔科夫链保证唯一的平稳分布存在,而

  • 具有遍历性的马尔科夫链可以生成满足大数定律的时间序列。

这些概念一起为理解马尔科夫链的长期表现提供了基础。

让我们从一些通常的函数库导入开始:

import matplotlib.pyplot as plt
import quantecon as qe
import numpy as np

import matplotlib as mpl
FONTPATH = "fonts/SourceHanSerifSC-SemiBold.otf"
mpl.font_manager.fontManager.addfont(FONTPATH)
plt.rcParams['font.family'] = ['Source Han Serif SC']

34.2. 不可约性#

为了解释不可约性,让我们设 P 为一个固定的随机矩阵。

如果对于某个整数 t0Pt(x,y)>0,则称状态 x 对状态 y可达的。

当状态 xy 彼此可达时,称它们互通

根据我们前面讨论的,这正意味着

  • 状态 x 最终可以从状态 y 到达,且

  • 状态 y 最终可以从状态 x 到达。

如果所有状态都互通,则称随机矩阵 P不可约的,即对于所有 在 S×S 空间中的 (x,y)xy 互通。

Example 34.1

例如,考虑下面虚构的一组家庭的财富状况转移概率。

_images/Irre_1.png

我们可以将其转化为一个随机矩阵,用0填充对应节点之间没有边线连接的地方。

P:=[0.90.100.40.40.20.10.10.8]

从图中可以看出,这个随机矩阵是不可约的:我们可以最终(步数足够大)从其中任何状态到达任何其他状态。

我们还可以使用 QuantEcon.pyMarkovChain python类来测试这一点:

P = [[0.9, 0.1, 0.0],
     [0.4, 0.4, 0.2],
     [0.1, 0.1, 0.8]]

mc = qe.MarkovChain(P, ('poor', 'middle', 'rich'))
mc.is_irreducible
True

Example 34.2

这是一个更加悲观的情景,贫困者永远保持贫困。

_images/Irre_2.png

这个随机矩阵不是不可约的,因为例如,富有状态无法从贫困状态直接到达。

让我们确认这一点:

P = [[1.0, 0.0, 0.0],
     [0.1, 0.8, 0.1],
     [0.0, 0.2, 0.8]]

mc = qe.MarkovChain(P, ('poor', 'middle', 'rich'))
mc.is_irreducible
False

你可能已经明白,不可约性在长期结果中非常重要。

例如,在第二个图中,贫困是一种终身的困境,但在第一个图中不是。

我们稍后会回到这个问题。

34.2.1. 不可约性与平稳性#

我们在之前的讲座 马尔科夫链:基本概念 中讨论了平稳分布的唯一性。

我们指出,当转移矩阵处处为正时,唯一性成立。

事实上,不可约性就足够了:

Theorem 34.1

如果 P 是不可约的,那么 P 只有一个平稳分布。

有关证明,请参见 [Sargent and Stachurski, 2023] 的第4章或 [Häggström, 2002] 的定理5.2。

34.3. 遍历性#

在不可约性下,还可以得到另一个重要结果:

Theorem 34.2

如果 P 是不可约的,并且 ψ 是唯一的平稳分布,那么对于所有 xS

(34.1)#1mt=1m1{Xt=x}ψ(x)当 m

这里

  • {Xt} 是具有随机矩阵 P 和初始分布 ψ0 的马尔科夫链。

  • 1{Xt=x}=1 当且仅当 Xt=x,否则为0。

定理(34.1)中的结果有时称为遍历性

该定理告诉我们,随着时间趋于无穷大,链花费在状态 x 的时间比例收敛到 ψ(x)

这为我们提供了另一种解释平稳分布的方法(假设不可约性成立)。

重要的是,这一结果对于任何 ψ0 都有效。

该定理与大数定律相关。

它告诉我们,在某些情况中,即使随机变量序列不是独立同分布,大数定律有时也成立。

34.3.1. 示例:遍历性与失业#

回顾我们关于就业/失业模型的截面解释之前讨论过

假设 α(0,1)β(0,1),因此不可约性成立。

我们看到平稳分布是 (p,1p),其中

p=βα+β

在截面解释中,这是失业人员的比例。

根据我们最新的遍历性结果,这也是单个工人预期花费在失业状态的时间比例。

因此,从长远来看,人口的截面平均值和单个个体的时间序列平均值是一致的。

这是遍历性概念的一个方面。

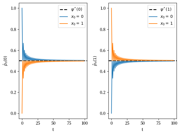
34.3.2. 示例:汉密尔顿动力学#

另一个示例是我们之前讨论过的汉密尔顿动力学。

{Xt} 是由这些动力学生成的样本路径。

令在时间段 t=1,,n 内花费在状态 x 上的时间比例为 p^n(x),则有

p^n(x):=1nt=1n1{Xt=x}(x{0,1,2})

马尔科夫链的表明它是不可约的,因此遍历性成立。

因此,我们期望当 n 较大时,p^n(x)ψ(x)

下图显示了当 x=1 并且 X0 分别为 0,12 时,p^n(x)ψ(x) 的收敛情况。

P = np.array([[0.971, 0.029, 0.000],
              [0.145, 0.778, 0.077],
              [0.000, 0.508, 0.492]])
ts_length = 10_000
mc = qe.MarkovChain(P)
ψ_star = mc.stationary_distributions[0]
x = 1  # 我们研究 psi^*(x) 的收敛情况

fig, ax = plt.subplots()
ax.axhline(ψ_star[x], linestyle='dashed', color='black', 
                label = fr'$\psi^*({x})$')
# 计算花费在状态0的时间比例,从不同的x_0开始
for x0 in range(len(P)):
    X = mc.simulate(ts_length, init=x0)
    p_hat = (X == x).cumsum() / np.arange(1, ts_length+1)
    ax.plot(p_hat, label=fr'$\hat p_n({x})$ 当 $X_0 = \, {x0}$')
ax.set_xlabel('t')
ax.set_ylabel(fr'$\hat p_n({x})$')
ax.legend()
plt.show()
_images/6c5fffcd10947b30298f469db2147f24fad99ce326745679336c5a7bbe770c9b.png

你可能想尝试将 x=1 改为 x=0x=2

在这些情况下,遍历性都会成立。

34.3.3. 示例:一个周期链#

Example 34.3

让我们来看以下状态0和1的例子:

P:=[0110]

转移图表明该模型是不可约的。

_images/example4.png

请注意,这里有一个周期循环——当前状态以规则的方式在两个状态之间循环。

毫不奇怪,这种属性被称为周期性

尽管如此,该模型是不可约的,因此遍历性成立。

以下图表进行了说明:

P = np.array([[0, 1],
              [1, 0]])
ts_length = 100
mc = qe.MarkovChain(P)
n = len(P)
fig, axes = plt.subplots(nrows=1, ncols=n)
ψ_star = mc.stationary_distributions[0]

for i in range(n):
    axes[i].axhline(ψ_star[i], linestyle='dashed', lw=2, color='black', 
                    label = fr'$\psi^*({i})$')
    axes[i].set_xlabel('t')
    axes[i].set_ylabel(fr'$\hat p_n({i})$')

    # 计算每个 x 花费的时间比例
    for x0 in range(n):
        # 从不同的 x_0 生成时间序列
        X = mc.simulate(ts_length, init=x0)
        p_hat = (X == i).cumsum() / np.arange(1, ts_length+1)
        axes[i].plot(p_hat, label=fr'$x_0 = \, {x0} $')

    axes[i].legend()
plt.tight_layout()
plt.show()
_images/4b6f6501fe917971cc882cd9c1e9beab89b635e6be7f6d45f20b70e3f4836f56.png

该示例帮助强调了渐近平稳性是关于分布的,而遍历性是关于样本路径的。

在周期性链中,花费在某个状态的时间比例可以收敛到平稳分布。然而,每个状态的分布却不会收敛。

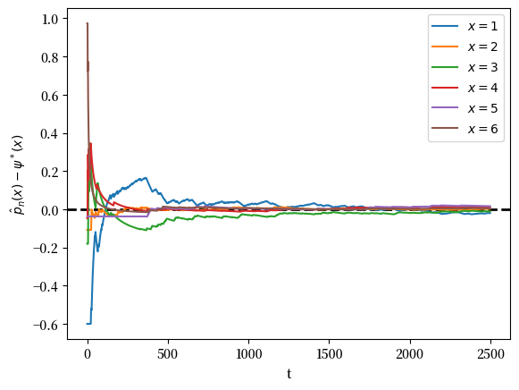
34.3.4. 示例:政治制度#

让我们回到前一讲中讨论的具有六个状态的政治制度模型,并研究其遍历性。

以下是转移矩阵:

P:=[0.860.110.030.000.000.000.520.330.130.020.000.000.120.030.700.110.030.010.130.020.350.360.100.040.000.000.090.110.550.250.000.000.090.150.260.50]

链的显示所有状态都是可达的,表明该链是不可约的。

在下图中,我们可视化了每个状态 xp^n(x)ψ(x) 差异。

与前一个图不同,X0 是固定的。

P = [[0.86, 0.11, 0.03, 0.00, 0.00, 0.00],
     [0.52, 0.33, 0.13, 0.02, 0.00, 0.00],
     [0.12, 0.03, 0.70, 0.11, 0.03, 0.01],
     [0.13, 0.02, 0.35, 0.36, 0.10, 0.04],
     [0.00, 0.00, 0.09, 0.11, 0.55, 0.25],
     [0.00, 0.00, 0.09, 0.15, 0.26, 0.50]]

ts_length = 2500
mc = qe.MarkovChain(P)
ψ_star = mc.stationary_distributions[0]
fig, ax = plt.subplots()
X = mc.simulate(ts_length, random_state=1)
# 将图中心对准0
ax.axhline(linestyle='dashed', lw=2, color='black')

for x0 in range(len(P)):
    # 计算每个状态的时间比例
    p_hat = (X == x0).cumsum() / np.arange(1, ts_length+1)
    ax.plot(p_hat - ψ_star[x0], label=f'$x = {x0+1} $')
    ax.set_xlabel('t')
    ax.set_ylabel(r'$\hat p_n(x) - \psi^* (x)$')

ax.legend()
plt.show()
_images/edfef7dfaa35c7308d7d19a8c6ad5844b37e15dd48266191fa9c121aea0835d0.png

34.4. 练习#

Exercise 34.1

Benhabib 等人 [Benhabib et al., 2019] 估计了如下的社会流动性转移矩阵:

P:=[0.2220.2220.2150.1870.0810.0380.0290.0060.2210.220.2150.1880.0820.0390.0290.0060.2070.2090.210.1940.090.0460.0360.0080.1980.2010.2070.1980.0950.0520.040.0090.1750.1780.1970.2070.110.0670.0540.0120.1820.1840.20.2050.1060.0620.050.0110.1230.1250.1660.2160.1410.1140.0940.0210.0840.0840.1420.2280.170.1430.1210.028]

其中每个状态1到8对应于财富份额的百分位数:

020%,2040%,4060%,6080%,8090%,9095%,9599%,99100%

矩阵记录为 P,如下:

P = [
    [0.222, 0.222, 0.215, 0.187, 0.081, 0.038, 0.029, 0.006],
    [0.221, 0.22,  0.215, 0.188, 0.082, 0.039, 0.029, 0.006],
    [0.207, 0.209, 0.21,  0.194, 0.09,  0.046, 0.036, 0.008],
    [0.198, 0.201, 0.207, 0.198, 0.095, 0.052, 0.04,  0.009],
    [0.175, 0.178, 0.197, 0.207, 0.11,  0.067, 0.054, 0.012],
    [0.182, 0.184, 0.2,   0.205, 0.106, 0.062, 0.05,  0.011],
    [0.123, 0.125, 0.166, 0.216, 0.141, 0.114, 0.094, 0.021],
    [0.084, 0.084, 0.142, 0.228, 0.17,  0.143, 0.121, 0.028]
    ]

P = np.array(P)
codes_B = ('1','2','3','4','5','6','7','8')
  1. 证明该过程是渐近平稳的,并计算平稳分布的近似值。

  2. 使用模拟来说明遍历性。

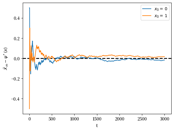
Exercise 34.2

根据上述讨论,如果一个工人的就业动态遵循以下随机矩阵

P:=[1ααβ1β]

其中 α(0,1)β(0,1),那么,从长远来看,失业的时间比例将为

p:=βα+β

换句话说,如果 {Xt} 表示就业状态的马尔科夫链,那么当 mX¯mp,其中

X¯m:=1mt=1m1{Xt=0}

本练习要求您通过计算 m 充分大时的 X¯m 来说明收敛性,并检查其是否接近 p

会看到无论初始条件或 α,β 的值如何,只要它们都位于 (0,1) 区间内,此结论都成立。

结果应与我们在这里绘制的图类似。

Exercise 34.3

quantecon 库中,通过检查链是否形成强连通分量来测试不可约性。

另一种测试不可约性的方法是通过以下定理:

当且仅当 k=0n1Ak 是严格正矩阵时,n×n 矩阵 A 是不可约的。

(参见[Zhao, 2012]此 StackExchange 讨论

根据此定理,编写一个函数来测试不可约性。